نانو لوله‌های کربنی و ABINIT

فَبِأَیِّ آلاءِ رَبِّکُما تُکَذِّبانِ

نانو لوله‌های کربنی و ABINIT

فَبِأَیِّ آلاءِ رَبِّکُما تُکَذِّبانِ

نانو لوله‌های کربنی و ABINIT

بسم الله الرحمن الرحیم

.•*..*•. .•*..*•. .•*..*•. .•*..*•. .•*..*•. .

نام نیکو گر بماند ز آدمی/ به کز او ماند سرای زرنگار

.•*..*•. .•*..*•. .•*..*•. .•*..*•. .•*..*•. .

نسیم مرادی، کارشناسی ارشد فیزیک اتمی مولکولی

علاقه مند به ساختار و خواص نانولوله های کربنی هستم
در این وبلاگ مطالبی که در مورد این ماده
مطالعه کرده م رو قرار می دم
برای نمایش فرمول ها بهتره از مرورگر IE استفاده نکنید
دوستان عزیز خوشحال میشم نظراتتون رو در مورد هر مطلب بدونم
ولی در سیستم بلاگ امکاناتی برای پاسخگویی به نظرات خصوصی نیست، ممنون میشم نظرات خصوصی ارسال نکنید.

اولین بار این وبلاگ رو فقط به این دلیل زدم
که مطالب پایان نامه م رو توش بریزم
شاید در فضای مجازی بدرد کسی بخوره ^_^

.•*..*•. .•*..*•. .•*..*•. .•*..*•. .•*..*•. .

پیشاپیش از نگاه شما سپاسگزارم.
کپی مطالب آزاد است.

در تصویر تک ذره‌ایSingle-particle ‎ خواص نوری نانولوله‌های‌کربنی می‌تواند توسط یک هامیلتونی در حضور یک

تابش نوری‎Optical radiation ‎ توصیف شود:

$$‎H = \frac{1}{{2m}}{\left( {\vec p‎ +‎\frac{e}{c} \vec A} \right)^2}‎ + ‎U,$$

 ‎$ \vec p $‎ تکانه الکترون و ‎$ m $‎ جرم آن، ‎$ \vec A $‎ پتانسیل برداری مغناطیسی و ‎$ U $‎ شامل تمام

بر‌هم‌کنش‌های موجود در سیستم است. 

این هامیلتونی در تقریب مرتبه اولِ پتانسیل برداری و با استفاده از پیمانه ی کولن

‎$\vec \nabla.\vec A = 0$‎ به صورت زیر نوشته می‌شود:

$$‎H = {H_0}‎ + ‎\frac{e}{mc}\vec p.\vec A,‎$$

‎$ H_0 $‎ هامیلتونی در غیاب نور و ترم دوم به صورت یک اختلال برای برهم‌کنش الکترون و فوتون در نظر گرفته می‌شود:

$$‎H_{el-ph}(t) = \frac{e}{mc}\vec p.\vec A.‎$$

برای اینکه ذره‌ی باردار، یک کوانتوم نور از حالت اولیه‌ای که ‎$ N $‎ فوتون با بسامد زاویه‌ای ‎$ \omega $‎ دارد جذب کند، می‌نویسیم:

$$‎\vec A(\vec r,t) =\hat e {\left( {\frac{{2\pi {c^2}N\hbar }}{{\omega V}}} \right)^{1/2}}{e^{i(\vec k.\vec r‎ - ‎\omega t)}},‎$$

‎$ \hat e $‎ جهت قطبش نور و ‎$V $‎ حجم دستگاه است. ‎$\vec k$‎ بردار موج، در جهت انتشار و به عبارتی

عمود بر میدان‌های الکتریکی و مغناطیسی است.

با استفاده از قاعده‌ی طلایی فرمی Fermi's golden rule‎ احتمال گذار بین حالات اولیه و نهایی به

صورت زیر داده می‌شود:

$$‎{\Gamma _{i \to j}} = \frac{{2\pi }}{\hbar }\delta ({E_f}-{E_i}-\hbar \omega ){\left| {\left\langle f \right|{H_{el-ph}}\left| i \right\rangle } \right|^2},‎$$

تابع دلتا در این معادله برای گذارهای نوری نوار-به-نوارBand-to-band ‎ قانون بقای انرژی را می‌دهد.

برای محاسبه درایه‌های ماتریسی، ما دو نمونه‌ی خاص را در نظر می‌گیریم:

نور موازی محور نانولوله ‎$(\hat e = \hat z) $‎

نور عمود بر محور نانولوله ‎$(\hat e=\hat \varphi)$‎

درایه‌های ماتریسی، ناشی از برهم‌کنش الکترون-فوتون در نانولوله، می‌تواند به صورت زیر در نظر گرفته شود:

$$‎\left\langle {q,J,c} \right|{H_{el-ph}}\left| {q',J',v} \right\rangle = {\left( {\frac{{2\pi {c^2}N\hbar }}{{\omega V}}} \right)^{1/2}} \times \frac{e}{mc}\left\langle {q,J,c} \right|(\vec p.\hat e){e^{i\vec k.\vec r}}\left| {q',J',v} \right\rangle‎, $$

‎$ \left| {q,J,c} \right\rangle $‎ یک تابع موج برای یک الکترون با بردار موج محوری ‎$ q $‎ در زیرنوار رسانش

‎$ J $‎ و ‎$ \left| {q,J,v} \right\rangle $‎ برای نوار ظرفیت است.

چون شعاع نانولوله خیلی کوچکتر از طول موج نور است فاکتور نمایی در معادله‌ی بالا

را یک فرض می‌کنیم (تقریب دوقطبی الکتریکی). بنابراین داریم:

$$‎\left\langle f \right|{H_{el-ph}}\left| i \right\rangle ={\left( {\frac{{2\pi {c^2}N\hbar }}{{\omega V}}} \right)^{1/2}}‎  ‎\times\left\langle {q,J,c} \right|{p_z}\left| {q',J',v} \right\rangle$$

$$‎\left\langle f \right|{H_{el-ph}}\left| i \right\rangle ={\left( {\frac{{2\pi {c^2}N\hbar }}{{\omega V}}} \right)^{1/2}}‎  ‎\times\left\langle {q,J,c} \right|{p_\varphi}\left| {q',J',v} \right\rangle$$

با یادآوری از فصل یک، توابع موج برای یک نانولوله‌ی کربنی توسط رابطه‌ی زیر داده می‌شود:

$$‎\left| {q,J,h} \right\rangle = \psi _{Jq}^h(\vec r) = \frac{1}{{\sqrt 2 }}[{\phi _{AJq}}(\vec r)‎ + ‎\lambda _{Jq}^h {\phi _{BJq}}(\vec r)].‎$$

بنابراین درایه‌های ماتریس تکانه برای قطبش موازی به صورت زیر بدست می‌آیند:

$$‎\left\langle {q,J,c} \right|{p_z}\left| {q',J',v} \right\rangle = {\delta _{J,J'}}{\delta _{q,q'}}{\mathop{\rm Re}\nolimits} \left( {\lambda _{Jq}^\upsilon \sum\limits_{i = 1,2,3} {{\alpha _i}{e^{-iq\delta {z_i}}}{e^{-iJ\delta {\varphi _i}}}} } \right),*‎$$

 برای بدست آوردن این عبارت فرض کرده‌ایم که درایه‌های ماتریس تکانه تنها برای اربیتال‌های جایگزیده روی نزدیکترین همسایه‌ها، غیر صفر است. در این رابطه ‎$ \delta z_{i} $‎ و ‎$ \delta \varphi _{i} $‎

اختلاف بین مختصات محوری و سمتی اتم‌‌های نزدیکترین همسایه را نشان می‌دهند.

هم‌چنین ضرایب ‎$ \alpha_{i} $ به صورت زیر داده می‌شوند:

$$‎{\alpha _i} = \int_0^{2\pi } {d\varphi \int_0^\infty {rdr\int_{-\infty }^\infty {dz\chi _{{{\vec r}_A}}^*(\vec r)i\hbar \frac{d}{{dz}}} } } {\chi _{{{\vec r}_A}‎ + ‎{{\vec \rho}_i}}}(\vec r).‎$$

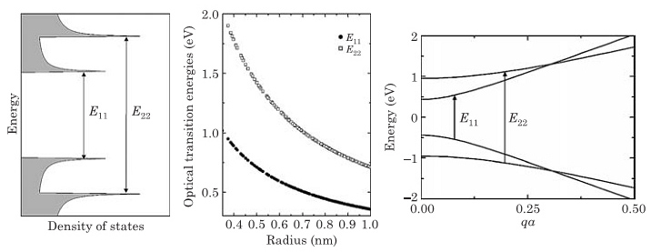
مهم‌ترین نکته در اینجا ظاهر شدن شرایط ‎$ J={J'} $‎ و‎$ q={q'} $‎ در معادله ی * است. 

این شرط نشان می‌دهد گذارهای نوری با قطبش موازی، بین زیرنوارهایی اتفاق می‌افتد که بردارموج متقارن و محوری یکسان دارند.این بیان انرژی های گذار ‎$ E_{11} $‎ و ‎$ E_{22} $‎ را می دهد.

شکل1: انرژی های گذار اول و دوم  برای نور قطبیده شده موازی محور نانولوله کربنی بر حسب شعاع نانولوله

 

نانولوله‌ها در تمام زیرنوارهای خود یک گپ نواری مستقیم دارند، بنابراین بقای انرژی و تکانه در تمام زیرنوارها می‌تواند بدون مداخله‌ی فونون‌ها صورت گیرد.

برای قطبش عمود، محاسبه‌ی درایه‌های ماتریسی تکانه زاویه‌ای ساده‌تر است، زیرا عملگر تکانه تنها عدد کوانتومی ‎$ J $‎ را یک واحد تغییر می‌دهد:

$$‎\left\langle {q,J,c}\right|{p_\varphi}\left|{q',J',v}\right\rangle \varpropto \left\langle {q,J,c}\right|1\left|{q',J'\pm 1,v}\right\rangle = {\delta _{q,q'}}{\delta _{J,J' \pm 1}},‎$$

 علامت ‎$ \pm $‎ به راستگرد و چپگرد بودن قطبش بستگی دارد.

بنابراین گذارهای نوری با قطبش عمود، بین زیرنوارهایی اتفاق می‌افتد که عدد کوانتومی آن‌ها به اندازه‌ی یک واحد اختلاف دارند. این بیان، انرژی‌های گذار ‎$ E_{12} $‎ و ‎$ E_{21} $‎ را ارائه می‌دهد.

شکل2: انرژی های گذار اول و دوم  برای نور قطبیده شده عمود بر محور نانولوله کربنی بر حسب شعاع نانولوله

نظرات  (۰)

هیچ نظری هنوز ثبت نشده است

ارسال نظر

ارسال نظر آزاد است، اما اگر قبلا در بیان ثبت نام کرده اید می توانید ابتدا وارد شوید.
شما میتوانید از این تگهای html استفاده کنید:
<b> یا <strong>، <em> یا <i>، <u>، <strike> یا <s>، <sup>، <sub>، <blockquote>، <code>، <pre>، <hr>، <br>، <p>، <a href="" title="">، <span style="">، <div align="">
تجدید کد امنیتی